EE - 309 / E01 Fall 2002
Circuit Design and Simulation
Professor: Ho
Submitted By:
Andrew Buettner
Lab #1: The Peak Rectifier
Table Of Contents
1) Cover Page...............................1
2) Table of Contents.....................2
3) Objective..................................3
4) Components Used....................3
5) Procedures................................3
6)
Lab Data / Results....................3
1) Diagram 1.....................................3
2) Diagram 2.....................................3
3) Diagram 3.....................................4
4) Diagram 4.....................................4
5) Diagram 5.....................................4
6) Diagram 6.....................................4
7) Diagram 7.....................................5
7) Conclusions..............................5
8) Attachments..............................5
Objective
The objective of this lab is to perform routine calculations on a peak rectifier.
Components Used
1) PC with CircuitMaker® installed.
Procedures
1) Using CircuitMaker®,
design the following circuit:

2) Using a value of 20W for the load resistor, show the waveform at the output.
3) Repeat step 3 using 200W and 2KW as the load resistor values.
4) What load resistor values produce a reliable output?
5) Add an additional 10W in series with the load resistor and repeat steps 2 - 4.
Lab Data/ Results
1) Diagram 1: Schematic (Enlarged View)

2) Diagram 2: Voltage - Time view using the 20W resistor.

3) Diagram
3: Voltage - Time view using the 200W
resistor.

4) Diagram 4: Voltage - Time view using the 2KW resistor.

5) Diagram 5: Voltage - Time view using the 20W + 10W resistor.

6) Diagram 6: Voltage - Time view using the 200W + 10W resistor.

7) Diagram 7: Voltage - Time view using the 2KW + 10W resistor.

Answers to Lab Questions
1) Q: What is the stability point of the circuit?
A: 2KW
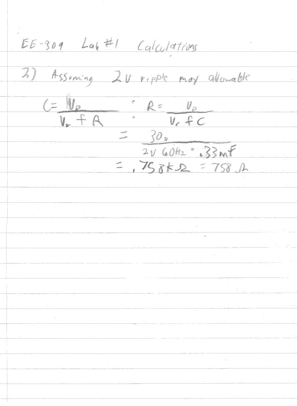
2) Q: According to the formula in the text, what minimum resistance should yield a viable result?
A: 758W
Conclusions
This lab has demonstrated the basic operations of a simple full wave bridge, or peak rectifier. The results were good and were predictable. One note is that the data from the simulations predicts a stable operating point (<2V ripple) at around 1KW, which is expected form the calculations in question 2. I have performed this lab many times in a practical sense when I designed and built power supplies. With a 16W load using a LM317 driven by a power transformer rated at 3A @ 15VACRMS, I was able to achieve less than .1V ripple using 2 2200mF capacitors and a 1000mF on the output.
Attachments
Original lab handout
Original lab data
Calculations
